加工中心主轴系统的可靠性分析
2020-1-21 来源: 延边大学工学院 作者:王德超,崔峰 朴成道
摘要: 对国外高档加工中心进行现场跟踪,采集并记录使用过程中的故障数据。为了科学、全面的考虑加工中心发生故障的不确定性,采用模糊综合评判法进行了分析,求得主轴系统的危害度。并应用 Matlab 软件对主轴系统的故障数据进行了分析,得到故障首次间隔时间服从二参数威布尔分布,根据得到的可靠性指标对主轴系统进行可靠性评价。
关键词: 加工中心; 主轴系统; 模糊综合评判; 可靠性
0 前言
加工中心是一种自动化程度较高、加工复杂零部件的先进生产设备,在现代加工制造业中处于领先地位。随着加工制造业对加工设备自动化程度要求的提高,机床发生故障的概率也随之变动,而可靠性问题是机床发展需首要解决的问题,因此,对于提升或改善机床可靠性的研究是有必要的。
故障模式、影响及危害性分析 ( FMECA) 是传统的机床故障分析法,然而根据故障模式的影响数值,描述故障模式对零部件造成的损伤概率具有片面性的现象。为了科学、全面的考虑加工中心发生故障的随机性与模糊性,采用模糊综合评判法进行了分析,并应用 Matlab 软件对主轴系统的故障数据进行了分析,根据得到的可靠性指标对该加工中心主轴系统进行了可靠性评价。以国外生产的 SIRIUS-850 型加工中心为研究对象,图 1 为 SIRIUS-850 型加工中心的外观,其特点是配有 FANUC-18i MB 数控系统,高速、超精密整体式主轴 (电机内装式) 结构,主轴最高转速可达 12 000 r/min。

图 1 SIRIUS-850 型加工中心外观
1 、主轴系统的故障模式及危害度分析
1. 1 主轴系统的故障数据
采用现场定时截尾实验法采集故障数据,记录161 台同型号加工中心历时 7 年实际生产过程中发生的故障,剔除无效数据。并对其整理分析,制成子系统故障频率排序表,如表 1 所示。由表 1 可知: 主轴系统故障频率 (24. 0%) 在所有子系统中居于首位,其次为进给系统 (21. 0%) 和防护系统 (12. 6%)。
表 1 子系统故障频率表
1. 2 主轴系统的故障分析
对记录的故障数据整理分析,得出关于主轴系统的故障信息,如表 2 所示。
表 2 主轴系统故障模式
由表 2可知:主轴冷却循环系统异常是发生最频繁的故障模式,故障频率占主轴系统故障频率 的62. 1%,明显高于其他几部分。
1. 3 主轴系统的 FMECA
加工中心主轴系统的危害度分析是建立在故障模式影响分析 ( FMEA) 的基础上,参照每个故障模式的类 别、严 重 程 度 等,全 面 的 评 价 故 障 模 式影响。子系统 i
以故障模式 j 致使该子系统发生故障的危害度 CRij,公式如下所示:


综上所述,主轴系统的危害度计算如表 3 所示。采用如上计算方法,得出各子系统的危害度排序,如表 4 所示。
表 3 主轴系统的危害度

表 4子系统的危害度
由表 4知: 自动换刀系统危害度 (6. 336 4×10-3)最大,其次为进给系统危害度 (6. 311×10-3) 和主轴系统危害度 (6. 113 1×10-3),以上 3 种子系统是影响该型号加工中心的关键部位,应重点关注并进行必要的设计与改进。
2 、主轴系统的模糊综合评判分析
2. 1 模糊综合评判法
为了弥补常规危害度分析中的不足,运用模糊综合评判法对其进行改进。模糊综合评判是应用模糊数学中定量的方法处理定性问题,使定性评价更加合理、科。基于 FMECA 的评价特性和评价指标特点,参照该法在其他领域的应用实例[7],将评语集定为 5 个等级,如表 5 所示。
表 5 评语集
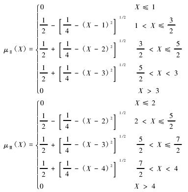
对数控机床的模糊计算方法上,圆形隶属函数优于三角形、梯形隶属函数[8]。圆形隶属函数模型如图2 所示。
图 2 圆形隶属函数模型


2. 2 β 参数模糊变换
以主轴系统的故障模式和故障影响为例,将 βij由以上 5 个公式进行区间变换后得到如表 6 所示变换后的参数及隶属度值。
表 6 主轴系统故障影响参数的变换及隶属度
2. 3 主轴系统危害度模糊综合评判
模糊后的危害度值 Hi公式为:


表 7 子系统模糊后危害度
由于各子系统模糊后的危害度值不分布在评估指标内,在对不影响度排序的基础上将其各子系统模糊后危害度值放大 104倍得出影响度值。通过 表 7 可 知,主 轴 系 统 模 糊 后 的 危 害 度(2. 727× 10-4) 排在第一位,评判等级为 “一般”,其故障危害处于临界边缘,因此主轴系统需要重视和改进。排在第二位的为自动换刀系统,模糊后危害度(2. 418×10-4) 评判等级为 “一般”,其故障危害处于临界边缘,同时也需要重视。
对比表 4可知,危害度排在第一位的自动换刀系统、第二位的进给系统和第三位的主轴系统经过模糊综合评判后,主轴系统排到了第一位,这也说明若是单纯考虑故障频率、丧失功能的条件概率和危害度,对机床的可靠性评价具有片面性,因此,基于模糊综合评价法分析是有必要的。
3、 可靠性指标的计算
针对采集的故障数据进一步处理,剔除无关数据,整理出关于主轴系统的首次故障时间数据,如表8 所示。
表 8 主轴系统首次故障时间
3. 1 确定分布类型
将表 8 中 的 首 次 故 障 时 间 导 入 Matlab 软 件 的probplot 命令中,得到如图 3 所示的 4 种常见分布频率图[10]。通过对比分析,图 3 中 (d) 的故障点大部分落在虚线的附近。所以可认为该型号加工中心的主轴系统首次故障时间分布类型接近威布尔分布。
图 3分布频率图
3. 2 参数估计与检验
对数控机床的威布尔分布模型选取时,常采用的分布模型为二参数和三参数威布尔分布模型。虽然三参数比二参数的估计值精度高,更能准确地反映机床可靠性的真实情况,但由于原始数据的梯度相差甚远,所以选用二参数威布尔模型。应用最小二乘法对形状参数 m 和尺寸参数 n 进行参数估计,得到 n =2 837. 7,m = 0. 908 8。应用 D 检 验 法对参数 m、n 进行校 验临界值为:

3. 3 主轴系统的
MTTFF平均首次故障时间是呈现给使用企业对于机床质量好坏的第一印象,直接影响机床在市场中的份额,同时也是数控机床时间质量的衡量标准,所以对该型号加工中心主轴系统的平均首次故障时间进行分析是必要的环节。由于该型号的加工中心主轴系统服从威布尔分布规律,通过点估计法得MTTFF = nΓ( 1 + 1 / m) = 3 143. 88 h依据国内科技重大专项和专家经验确定各项指标的阈值,将可靠性评价指标分为 5 个评判等级[11],如表 9 所示。
该可靠性评价指标的阈值是对整机的,但由于主轴系统在整个数控机床系统内承担着重要角色的地位,故可以认为该加工中心主轴系统可靠性评价指标近似于整机的可靠性评价指标。
表 9 可靠性评价指标的阈值
由上可知,该加工中心主轴系统的 MTTFF 为3 143. 88 h,指标等级属于 “很高 ”,已经远远的超过国产数控机床的最高级别,则该型号加工中心主轴系统的可靠性水平较高。
4 、结束语
首先,通过对主轴系统故障的频次分析,得出主轴系统的首要故障模式是主轴冷却循环系统异常,达到了 0. 73 次 /10 000 h,说明了该主轴系统质量较好。然后,对各子系统进行了危害度分析,得出主轴系统排在了第三位。为了充分考虑加工中心主轴系统发生故障的随机性与模糊性,采用模糊综合评判法进行了危害度分析,结果显示主轴系统排到了第一位。最后,通过对主轴系统首次故障时间进行了参数估计与检验,得到主轴系统首次故障时间服从二参数威布尔分布模型,求得可靠性指标 MTTFF 值为 3 143. 88 h,其指标值表明: 该加工心主轴系统的平均首次故障时间远远的超过国产数控机床可靠性指标的最高值。因此,可以认为国内加工中心主轴系统的可靠性水平具有很大的提升空间,应当在一定的时间内对国内加工中心主轴系统的可靠性进行科学的、全面的研究。
投稿箱:
如果您有机床行业、企业相关新闻稿件发表,或进行资讯合作,欢迎联系本网编辑部, 邮箱:skjcsc@vip.sina.com
如果您有机床行业、企业相关新闻稿件发表,或进行资讯合作,欢迎联系本网编辑部, 邮箱:skjcsc@vip.sina.com
更多相关信息





