基于切比雪夫多项式的数控机床几何误差参数化建模
2017-12-29 来源: 浙江衢州广播电视 浙江大学机械工程 作者:郭然 付国强 孙磊 傅建中
摘要: 为了快速精确地建立机床几何误差项数学模型,提出了一种基于切比雪夫多项式的参数化建模方法。首先针对测量得到的机床基本几何项数据,将机床相应运动轴进给量转化为切比雪夫变量。其次将切比雪夫变量代入不同阶次的切比雪夫多项式得到相应的值。然后根据切比雪夫基函数值和切比雪夫变量用多元线性回归方法获得相应的系数,得到关于切比雪夫基函数的数学模型。最后将运动轴进给量与切比雪夫变量之间的转化关系代入得到基本几何误差项的数学模型。建模过程简单且易程序化,切比雪夫多项式的高逼近精度使得建立的模型精度高。将所有几何误差项参数化模型代入机床几何误差模型综合数学模型,从而可得到机床工作空间几何误差场分布。以MV-5A 三轴立式加工中心为例,将各个几何误差项参数化模型代入机床几何误差模型中得到该机床综合几何误差数学模型,进而得到该机床工作空间几何误差场分布,为机床设计和误差补偿提供了理论依据。
关键词: 数控机床 几何误差 参数化建模 切比雪夫多项式
引言
随着制造业的快速发展以及工件精度要求和复杂度的提高,对机床精度的要求越来越高。机床几何误差和热误差是影响机床加工精度的主要因素,占60%以上[1 - 2]。而几何误差的建模和补偿是提高机床精度的一种重要途径。数控机床几何误差建模大多是基于多体理论建立齐次变换矩阵得到机床几何误差[3 - 6]。同时坐标系之间的微分变换关系和指数积理论也分别被用来进行误差建模和补偿[7 - 9]。根据模型进行补偿的前提是数控机床基本几何误差项数据。三轴数控机床的21 项几何误差可通过激光干涉仪、球杆仪、激光跟踪仪等装置采用相应的测量方法得到。得到的误差项数据是离散数据,反映了机床行程一系列点的误差,这就需要建立机床基本误差项的参数化模型,即建立相应的数学表达式。很多学者采用了不同的方法来建立基本误差项的模型[10 - 11]。Fan 等[12]引入正交多项式回归法根据测量得到的误差数据建立机床主轴热误差模型,又采用正交多项式回归法建立机床几何误差项数学模型[13]。Lee 等根据几何误差项的性质建立了合理的多项式模型,然后进行误差测量辨识得到相应的系数[14]。
切比雪夫多项式在函数逼近方面比泰勒展开式有更高的精度。切比雪夫多项式已经在数字信号处理、卫星轨道、气象学中得到广泛应用[15]。相比于最小二乘法多项式拟合,随着拟合次数的增加,切比雪夫多项式各部分误差减小,精度增加[16]。本文提出一种基于切比雪夫多项式的机床几何误差项参数化建模方法。首先根据辨识得到的数据,结合几何切比雪夫多项式性质,将机床位移变量进行变换。然后计算得到各个不同次数的切比雪夫多项式基函数的系数,接着代入机床位移变量转换关系展开得到相应的几何误差项参数化模型。将几何误差项参数化模型代入机床综合几何误差模型得到相应数学模型,从而可计算得到机床误差场分布,为机床设计和补偿奠定基础。
1、 数控机床几何误差建模
三轴数控机床有21 项几何误差项。因为每个物体在空间上存在6 个自由度,所以每个运动轴存在6 项基本误差项,包括3 项线性误差和3 项转角误差。图1 表示了X 轴的6 项基本误差项。其中δxx、δyx、δzx分别是X、Y、Z 方向的线性误差,εxx、εyx、εzx分别表示绕X、Y、Z 轴的转角误差。同时由于安装制造等原因,各个运动轴之间很难保证绝对的垂直,所以运动轴之间存在垂直度误差。其中X 轴和Y 轴之间的垂直度误差为Sxy,X 轴和Z 轴之间的垂直度误差为Sxz,而Y 轴和Z 轴之间的垂直度误差为Syz。那么三轴数控机床存在18 项几何误差和3 项垂直度误差。

图1 X 轴6 项基本误差项示意图
几何误差建模是误差补偿的基础。本文以三轴立式加工中心MV-5A 为例,为XYFZ 型机床。图2 所示为XYFZ 型机床结构简图。该三轴数控机床可视为一个开环运动链,该运动链为工作台—X 轴—Y 轴—床身—Z 轴—刀具。可以采用指数积理论对机床进行几何误差建模,那么机床刀具相对于工作台的位置误差可表示为

其中x、y、z 分别表示X、Y、Z 轴的位移,px、py、pz分别表示刀具在X、Y、Z 方向上的位置误差。为了能够方便补偿或者得到机床整个工作空间的误差场分布,机床误差模型应该用数学表达式来表示,这样机床工作空间内任意位置处误差都可得到。而各个误差项的参数化建模是基础,首先应建立误差项相应的数学表达式模型。

图2 XYFZ 型机床结构简图
2 、几何误差项参数化建模
三轴数控机床的21 项几何误差中,垂直度误差与机床运动轴位移无关,是恒定值。而运动轴基本误差项会随着轴进给量的变化而变化,同时只与轴本身位移有关,与其他轴无关,则运动轴基本误差项可表示为关于其位移的数学表达式。将各个误差数学模型代入机床综合几何误差模型就能够得到机床综合几何误差的数学表达式。MV-5A 三轴立式加工中心几何误差项可用激光干涉仪采用9 线法辨识得到。下面根据辨识得到的MV-5A 机床几何误差项数据,采用切比雪夫多项式对几何误差进行参数建模。
2. 1 切比雪夫多项式
切比雪夫多项式是以递归方式定义的一系列正交多项式。第1 类切比雪夫多项式的根用于多项式插值时可最大限度的降低龙格现象,可实现连续函数的最佳逼近。则第1 类切比雪夫多项式可由以下递推关系得到,即

数。基于切比雪夫多项式进行拟合时,需要将变量定义域转换为[- 1,1],来确保切比雪夫多项式的精确性。切比雪夫多项式可用到几何误差项的参数化建模中。
2. 2 参数化建模步骤
MV-5A 三轴数控机床X 轴基本误差项见表1。以X 轴x 方向的线性误差δxx为例进行基于切比雪夫多项式的参数化建模。
( 1) 机床X 轴行程为600 mm,应转换到切比雪夫多项式定义域[- 1,1]内,则需要对其进行线性归一化,相应的变量转换关系为

( 2) 构建不同次数的切比雪夫多项式基函数,并计算每个测量位置处对应的不同次数的切比雪夫值。表2 所示为不同项的切比雪夫基函数值。前5 项切比雪夫多项式可表示为

表1 X 轴6 项几何误差数据

表2 不同次数的切比雪夫基函数值

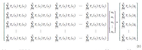
( 3) 计算切比雪夫多项式基函数对应的回归系数。几何误差项的切比雪夫多项式模型可表示为

其中αi是切比雪夫多项式回归系数。采用最小二乘法进行曲线拟合得到回归系数,回归系数与误差数据之间的关系可表示为

A 和B 矩阵可根据式( 5) 中相应的表达式代入测量数据计算获得,从而计算得到切比雪夫多项式回归系数。这里对于表1 中的δxx,m = 11,选择3 阶切比雪夫多项式进行拟合,即k = 3 进行计算,则式( 5) 表示为

得到的关于切比雪夫多项式基函数的拟合多项式为

( 4) 将切比雪夫基函数代入基于切比雪夫多项式的拟合函数中得到关于切比雪夫变量的多项式。即将式( 3) 代入到式( 4) 中可得到

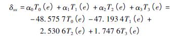
( 5) 根据变量转换关系得到最终的基本误差参数化模型和误差曲线。即将式( 2) 代入到式( 6) 中得到基本误差项关于运动轴进给量的多项式数学模型。δxx数学模型可表示为

图3 为δxx误差的切比雪夫多项式拟合曲线以及相应的残差曲线。

图3 δxx误差拟合曲线及相应的残差曲线
基于切比雪夫多项式的几何误差参数化建模可以得到几何误差的数学模型。切比雪夫多项式基函数将多项式拟合过程转换为多元线性回归,这样使得计算简单且易程序化。且由于切比雪夫多项式的逼近精度高,建立的数学模型的精度和准确性大大提高。整个参数化建模过程可实现程序化,实现几何误差的自动化建模。图4 为基于切比雪夫多项式的几何误差参数化建模流程图。三轴数控机床18 项基本几何误差项按照此方法建立相应的参数化数学模型,然后将数学模型代入机床综合几何误差模型中得到机床综合几何误差的完整数学模型。

图4 基于切比雪夫多项式的几何误差参数化建模流程图
3 、实验
采用美国光动公司的MCV-500 型激光干涉仪测量MV-5A 三轴立式加工中心的几何误差项。由于MCV-500 型激光干涉仪可以同时测量定位误差和直线度误差,所以采用9 线法来测量几何误差。图5 所示为激光干涉仪测量机床几何误差。然后根据提出的基于切比雪夫多项式的几何误差参数化建模方法建立各个基本误差项的数学模型。X、Y 和Z轴的基本几何误差数学模型为


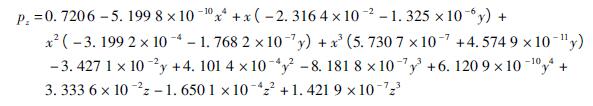
图6 为X 轴基本误差项数学模型曲线,包括3 项线性误差和3 项转角误差。X 轴线性误差的残差为[- 1. 269,1. 20]μm,转角误差数学模型的残差范围为[- 1. 64,2. 29]μrad。图7 表示Y 轴的基本误差项数学模型曲线。图8 表示Z 轴的基本误差项数学模型曲线。建立的基本误差参数化模型精度足够高,可以很好地表示误差数据。将基本误差项模型代入式( 1) 得到MV-5A 三轴立式加工中心的几何误差数学模型为


图5 激光干涉仪测量机床几何误差

图6 X 轴基本误差项数学模型曲线

图7 Y 轴基本误差项数学模型曲线

图8 Z 轴基本误差项数学模型曲线

该模型即关于X、Y、Z 轴运动量的表达式。机床工作空间上任意一点的几何误差都可以根据此数学模型计算得到。建立的综合误差数学模型可以很好地预测机床的几何误差,可以得到机床的误差场分布,机床几何误差场分布可以为几何误差补偿提供帮助,为后续补偿奠定基础。图9 表示了在z =100 mm 处工作平面上的Z 方向上的几何误差以及综合线性误差分布。图10 显示了机床整个工作空间的误差场分布。通过对误差场分析可以得到机床部件安装、制造对机床精度的影响,有利于提高机床精度。比如可分析得到机床导轨的制造与安装对机床的影响,从而对导轨进行调整来提高机床精度。误差场分布也有助于机床的设计制造。

图9 在z = 100 mm 平面处误差分布

图10 工作空间的几何误差场
4 、结束语
数控机床几何误差项参数化模型是建立机床几何误差数学模型和进行补偿的基础。本文运用切比雪夫多项式提出了几何误差项参数化建模方法。切比雪夫多项式基函数将多项式拟合过程转换为多元线性回归,这样使得计算简单且易程序化。以MV-5A 三轴立式加工中心测量得到的δxx为例阐述参数化建模过程,首先根据几何误差项测量数据建立机床运动量和切比雪夫多项式变量之间的转换关系。然后根据切比雪夫多项式基函数计算不同阶次的切比雪夫多项式值。接着采用最小二乘法得到切比雪夫多项式基函数的系数,从而得到关于切比雪夫变量的多项式模型。最后代入机床运动量和切比雪夫342 农业机械学报2 0 1 5 年变量转换关系得到几何误差项参数化模型。机床18 项基本误差项都可得到参数化模型,由于切比雪夫多项式的逼近精度高,建立的参数化模型的精度和准确性大大提高,且整个参数化建模过程实现了程序化,从而实现了几何误差的自动化建模。
投稿箱:
如果您有机床行业、企业相关新闻稿件发表,或进行资讯合作,欢迎联系本网编辑部, 邮箱:skjcsc@vip.sina.com
如果您有机床行业、企业相关新闻稿件发表,或进行资讯合作,欢迎联系本网编辑部, 邮箱:skjcsc@vip.sina.com




