摘要: 对客车转向架侧梁上下盖板的结构进行了分析, 指出原工艺存在的不足, 确定了工艺改进方法。重点阐述了生产模具的结构设计及关键尺寸的确定。
关键词: 侧梁上下盖板; 折弯; 模具
1 、原加工工艺分析
侧梁上下盖板结构如图1 如示。设计中为了减小应力, 相连过渡处设计成大圆弧( K 2 0 0 - 3 8 8 m m ) 。

图1 侧梁上下盖板横截面结构
原工艺是用图2 所示的压型模具制造。由于国产钢板厚度公差较大, 机械性能不够稳定, 再加上圆弧大, 造成零件成型后回弹大, 质量难以得到控制,使得零件组焊前间隙达2 ~ 4 m m 。同时该工艺还存在以下几个问题: 模具结构复杂, 加工不易;且一种零件就需要设计一种模具, 模具设计与制造周期长,模具制造费用昂贵; 同时, 在加工过程中至少需要5人才能操作。
由于铁路经过多次大提速, 对侧梁上下盖板的质量要求愈来愈高, 要求组成构架的各个部件之间的组焊间隙不大于0 . 5 m m, 为此需要对原制造工艺进行改进, 以提高组装焊接质量。
2 、工艺改进
通常对于圆弧件的制造可以采用2 种工艺方案, 即压型和折弯。由于压型模具的种种不适合, 故采用一种新型的折弯模具来制造加工大圆弧件。采用折弯机压制, 可以适用于不同板厚、不同折弯圆角的侧梁上下盖板。

2 . 1 模具结构设计
大圆弧折弯模具如图3 所示, 上模通过T 形槽与折弯机上滑块连接定位, 下模用凸台和折弯机凹槽连接定位, 这样可以保证上模与下模同心, 并且便于安装与固定。上模和下模的间隙大于2 倍的零件板厚, 上模的圆弧包角大于零件的角度; 下模为开口的槽形结构, 槽宽可以通过在镶块与模体中间增减垫块来调节尺寸。镶块做圆角处理, 以免划伤零件,
并且两边圆角一致, 否则在弯曲时零件发生偏移。该结构设计可以一模多用, 节省了模具制造费用, 也减少了模具占用空间, 并且减少了制造不同车型侧梁上下盖板需要更换不同尺寸形状模具的时间。
2 . 2 模具尺寸优化
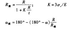
当R / t > 1 0 时, 相对弯曲半径越大, 回弹就越大, 此时零件不仅角度有回弹, 弯曲半径也有较大变化。考虑回弹, 将上模圆角半径加以修正。上模圆角半径、上模弯曲角( 图4 ) 可通过公式计算得出[2]。



式中:
— 上模圆角半径
;
? — 零件折弯半径;
t
一板材厚度;
a — 零件弯曲角;
— 上模弯曲角;
卢胃
一上模圆角半径R 模所对弧长的中心角;
芦
一零件圆角半径R 所对弧长的中心角;
£一材料的弹性模数
;
(T ,
一材料的屈服点;
K 一回弹简化系数。
下模槽宽越大, 板材进人下模的深度就越深, 进入下模的直边就越大, 直边越大, 板材在上、下模间就会产生复杂的弯曲和变形 , 侧梁上下盖板精度就会越低。通过上模宽度确定下模槽宽L:
L= 上模宽度+(2 ~ 3 ) t
下模深度必须保证板材变形部分能够完全进人下模, 并留有一定余量, 在折弯过程中不能使板材触底。
2 . 3 模板检査
折弯成型侧梁上下盖板如图5 所示, 采用模板检查其尺寸。一种车型对应一种尺寸形状的侧梁上下盖板, 就需要对应一种检査模板。由于侧梁上下盖板左右对称, 故模板只需制做一部分。首先1 号位、2 号位分别制作圆弧模板, 靠在侧梁上下盖板的下方位检查, 同样的方法检査零件另一边的1 号位、2 号位; 然后以侧梁上下盖板中心线为界制作一半的模板检查侧梁上下盖板的左右边; 最后用完整的侧梁上下盖板模板做最终检查。检查如有不符, 需要重新审核数控折弯机上滑块折弯行程、零件折弯定位尺寸, 如不是上述原因则要检查调修模具。

3 、结束语
上述改进后的工艺方法, 使侧梁上下盖板成型质量得到了很大的提高( 控制了压型时的回弹) , 使侧梁上下盖板成型尺寸与其他零件成型尺寸配合组装间隙达到了不大于0 . 5 m m 的要求, 提高了组装与组焊质量。同时, 通过调整下模垫块, 可用于不同车型的侧梁上下盖板, 节约了模具制造费用。
如果您有机床行业、企业相关新闻稿件发表,或进行资讯合作,欢迎联系本网编辑部, 邮箱:skjcsc@vip.sina.com
- target=_blank>6700转向节台阶孔加工新方案
- target=_blank>鼠标塑料模具的数控铣削加工
- target=_blank>水轮机转轮体主轴销套孔镗模加工方法优化
- target=_blank>数控刀具在轨道交通行业零部件加工中的应用
- target=_blank>精锻铝合金车轮(高级轿车)模具UG/CAD/CAM应用
- target=_blank>MB2120B型数控内圆磨床电主轴变频器的改造
- target=_blank>【雷尼绍】RESOLUTE™与MELSERVO-J5强强组合,实现更快速、精确、可靠的运动控制
- target=_blank>NSK开发低摩擦轮毂单元轴承 可增加电动汽车续航里程
- target=_blank>T68卧式镗床进给系统的数字化改造
- target=_blank>AGV+协作机器人在零件数控机床加工上下料中的应用
- target=_blank>2020年7月高端装备制造业、工业机器人,行业运行简述
- target=_blank>浅谈线切割机床中走丝与慢走丝
- target=_blank>ANCA整体PCD铣刀 —— 提高生产效率带来新的发展机遇
- target=_blank>伊斯卡,不止专注于金属加工
- target=_blank>EMAG成功收购Scherer Feinbau(舍勒公司),极大扩展了公司产品范围以及客户群体


